
ด้วยสหกรณ์ออมทรัพย์ครูสตูล จำกัด ได้เป็นศูนย์ประสานงานของสมาคมฌาปนกิจสงเคราะห์สหกรณ์สมาชิกชุมนุมสหกรณ์ออมทรัพย์ครูไทย (สสอค.) และสมาคมฌาปนกิจสงเคราะห์สหกรณ์สหกรณ์สมาชิกของชุมนุมสหกรณ์ออมทรัพย์แห่งประเทศไทย (สส.ชสอ.) ขอความร่วมมือทางโรงเรียนและหน่วยงานประชาสัมพันธ์ เรื่อง การเรียกเก็บเงินสงเคราะห์ สำหรับปีบัญชี 2567 โดยกำหนดชำระเงินตั้งแต่วันที่ 1-19 ธันวาคม 2566 (สำหรับสมาชิกหักปันผลทางสหกรณ์ฯ จะหักปันผลของสมาชิกโดยอัตโนมัติ)
อ่านรายละเอียดที่นี่ >>หนังสือเรียกเก็บเงินสงเคราะห์ สส.ชสอ ปี 2567
อ่านรายละเอียดที่นี่ >>ตารางเรียกเก็บเงินสงเคราะห์ สส.ชสอ ปี 2567
อ่านรายละเอียดที่นี่ >>หนังสือเรียกเก็บเงินสงเคราะห์ สสอค. ปี 2567
อ่านรายละเอียดที่นี่ >>ตารางเรียกเก็บเงินสงเคราะห์ สสอค. ปี 2567
อ่านรายละเอียดที่นี่ >>หนังสือเรียกเก็บเงินสงเคราะห์ สส.สท ปี 2567
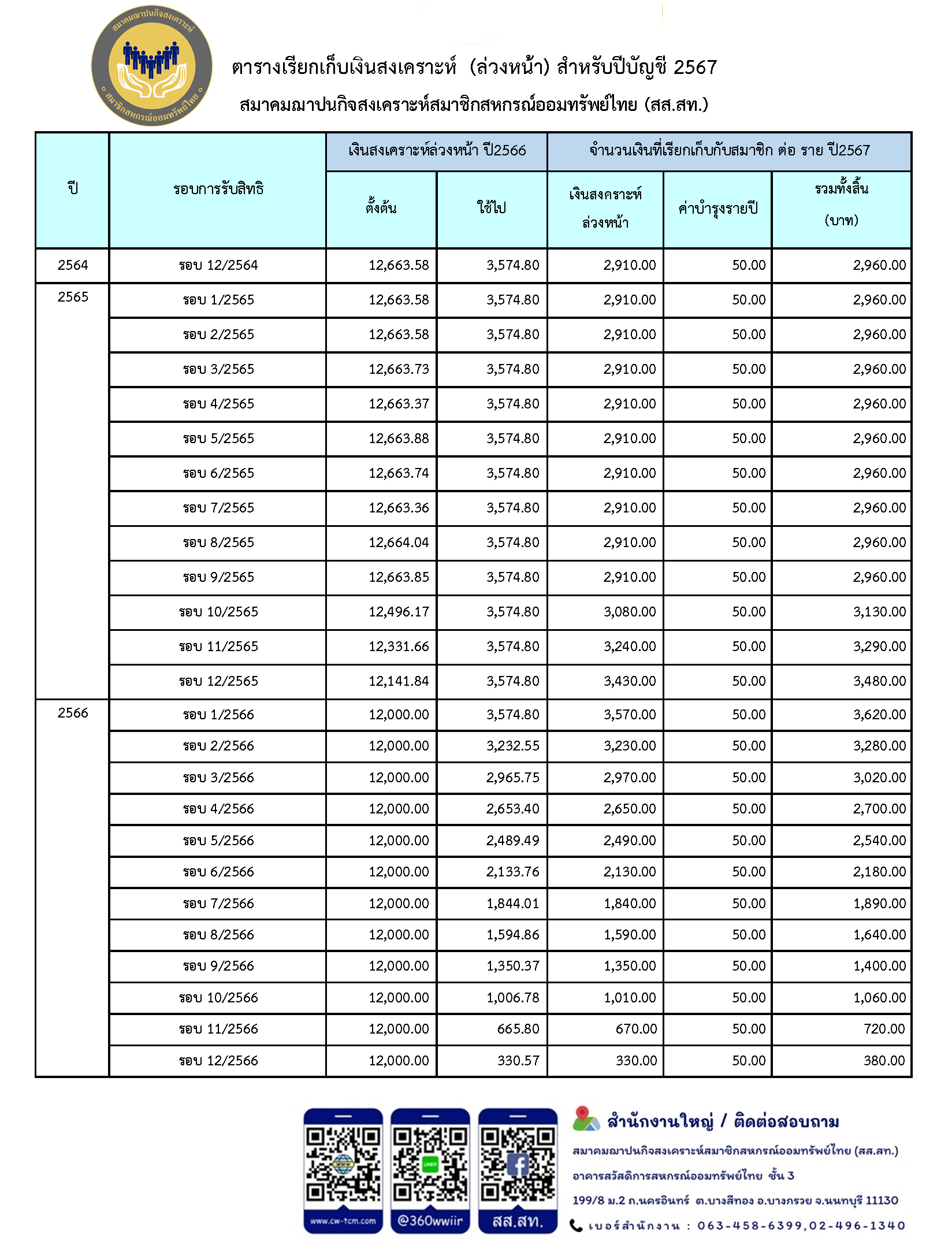
อ่านรายละเอียดที่นี่ >>ตารางเรียกเก็บเงินสงเคราะห์ สส.สท. ปี 2567








